Данный документ представляет собой детальный бизнес-план по созданию коворкинг-кафе «WORK&COFFEE» в Ростове-на-Дону. В работе проанализированы все аспекты запуска стартапа: от выбора организационно-правовой формы и локации до маркетинговой стратегии и финансового моделирования. Рассчитаны инвестиционные затраты, точка безубыточности, сроки окупаемости и риски проекта. Материал является комплексным руководством по реализации бизнес-идеи в сфере услуг для студентов и фрилансеров.
- Титульный лист
- Содержание
- Введение
- 1. Общие положения
- 2. Описание продукции
- 3. Расчет стоимости проекта
- 3. Расчет стоимости проекта (продолжение)
- 4. Производственный план
- 4. Производственный план (продолжение)
- 5. План по маркетингу и объему продаж
- 6. Ценовая политика
- 7. Территориальная представленность
- 8. Расчет потребности в персонале
- 9. Анализ рисков
- 9. Анализ рисков (продолжение)
- 10. Финансовый план
- Заключение
- Список используемых источников
Титульный лист
МИНИСТЕРСТВО НАУКИ И ВЫСШЕГО ОБРАЗОВАНИЯ РОССИЙСКОЙ ФЕДЕРАЦИИ
ФЕДЕРАЛЬНОЕ ГОСУДАРСТВЕННОЕ БЮДЖЕТНОЕ ОБРАЗОВАТЕЛЬНОЕ УЧРЕЖДЕНИЕ ВЫСШЕГО ОБРАЗОВАНИЯ «ДОНСКОЙ ГОСУДАРСТВЕННЫЙ ТЕХНИЧЕСКИЙ УНИВЕРСИТЕТ» (ДГТУ)
Факультет «Инновационный бизнес и менеджмент»
Кафедра «Экономической безопасности, учета и права»
БИЗНЕС-ПЛАН ИП Иванова А.А.
по дисциплине «ОСНОВА ПРОЕКТНОЙ ДЕЯТЕЛЬНОСТИ»
на реализацию проекта коворкинг-кафе «WORK&COFFEE»
Автор проекта: Бессонов А.А.
Направление подготовки: 38.05.01 «Экономическая безопасность»
Профиль: Экономико-правовое обеспечение экономической безопасности
Обозначение проекта: ОПД.000000.000 БП
Группа: ИЗ ЭБ 11
Руководитель проекта: асс. А.Н. Соколова
Ростов-на-Дону 2025
Содержание
- Введение
- Общие положения
- Описание продукции
- Расчет стоимости проекта
- Производственный план
- План по маркетингу и объему продаж
- Ценовая политика
- Территориальная представленность
- Расчет потребности в персонале
- Анализ рисков
- Финансовый план
- Заключение
- Список использованных источников
Введение
В условиях роста числа студентов дистанционных форм обучения, фрилансеров и молодых предпринимателей в г. Ростове-на-Дону наблюдается дефицит специализированных общественных пространств, совмещающих в себе комфортные условия для работы/учебы, доступ к необходимым ресурсам (быстрый Wi-Fi, оргтехника, зарядные устройства) и невысокие цены. Существующие антикафе или кофейни часто не приспособлены для длительной сосредоточенной работы: шумно, мало розеток, неудобная мебель. Решение данной проблемы путем создания коворкинг-кафе повысит качество удаленной работы и учебы, будет способствовать формированию профессиональных сообществ и снизит социальную изоляцию целевых групп.
Цель проектного исследования: разработка и экономическое обоснование бизнес-плана по созданию и запуску прибыльного коворкинг-кафе «WORK&COFFEE» в г. Ростове-на-Дону.
Задачи проектного исследования:
- Изучить рынок коворкинг-услуг и общественного питания в целевых районах города.
- Разработать концепцию и перечень услуг коворкинг-кафе.
- Рассчитать требуемые инвестиции и операционные расходы.
- Составить производственный, маркетинговый и организационный планы.
- Провести анализ рисков и определить финансовую эффективность проекта.
Объект исследования: рынок услуг для удаленных работников и студентов в г. Ростове-на-Дону.
Предмет исследования: процесс создания и функционирования коворкинг-кафе как субъекта малого предпринимательства.
1. Общие положения
Проект «WORK&COFFEE» направлен на создание коворкинг-кафе для студентов и фрилансеров в г. Ростове-на-Дону. Для его реализации планируется регистрация в качестве Индивидуального предпринимателя (ИП) в июне 2025 года. Учредителем и управляющим выступит Иванова Анна Александровна.
Местом ведения деятельности выбрано помещение по адресу: пр-кт Стачки, д. 101/1. Ключевым фактором выбора данной локации является непосредственная близость к студенческому городку Донского государственного технического университета (ДГТУ).
Для легального осуществления деятельности предусмотрена регистрация кодов ОКВЭД (Таблица 1).
| Код ОКВЭД | НАИМЕНОВАНИЕ |
|---|---|
| 56.10.1 | Деятельность ресторанов и кафе с полным ресторанным обслуживанием, кафетериев, деятельность по подаче еды на вынос |
| 63.11.1 | Деятельность по предоставлению услуг интернет-провайдеров |
| 68.20.2 | Аренда и управление собственным или арендованным нежилым недвижимым имуществом |
| 90.04.3 | Деятельность учреждений клубного типа |
| 47.99.1 | Торговля розничная прочая вне магазинов, палаток, рынков |
Общий объем необходимых для запуска инвестиций составляет 850 000 рублей. Выбрана Упрощенная система налогообложения (УСН) с объектом «Доходы минус расходы» (15%).
2. Описание продукции
Основу коммерческого предложения составляет синтез услуг коворкинга и классического кафе. В рамках коворкинг-направления предлагается аренда рабочего места, доступ к Wi-Fi, розеткам и аренда переговорной комнаты. Направление кафе предлагает напитки и легкие закуски (сэндвичи, салаты, десерты).
Структура, себестоимость и отпускные цены систематизированы в таблице 2.
| № | Наименование | Себестоимость | Отпускная цена |
|---|---|---|---|
| 1 | УСЛУГИ КОВОРКИНГА | ||
| 1.1 | Посещение, 1 час | 40 | 200 |
| 1.2 | Абонемент «Дневной» (5 часов) | 250 | 1200 |
| 1.3 | Абонемент «Безлимит на месяц» | 1500 | 7 500 |
| 1.4 | Аренда переговорной, 1 час | 150 | 800 |
| 2 | КАФЕ И ПРОДУКТЫ | ||
| 2.1 | Кофе авторский | 65 | 250 |
| 2.2 | Чай/Лимонад | 40 | 180 |
| 2.3 | Сэндвич/Салат | 120 | 350 |
| 2.4 | Десерт (порция) | 85 | 280 |
| 3 | СОПУТСТВУЮЩИЕ ТОВАРЫ | ||
| 3.1 | Блокнот фирменный | 150 | 400 |
| 3.2 | Ручка | 50 | 150 |
3. Расчет стоимости проекта
Общая потребность в финансировании определена в сумме 850 000 рублей.

Таблица 3.1: Расходы, произведенные с момента государственной регистрации до начала операционной деятельности:
| № п/п | Наименование расходов | Цена | Количество | Стоимость, руб. |
|---|---|---|---|---|
| 1 | Косметический ремонт и дизайн-проект | 300 000 | 1 | 300 000 |
| 2 | Мебель и оборудование для коворкинга | 250 000 | 1 | 250 000 |
| 3 | Оборудование для кафе | 100 000 | 1 | 100 000 |
| 4 | Организационные и технические затраты | 40 000 | 1 | 40 000 |
| 5 | Предстартовые маркетинговые инвестиции | 30 000 | 1 | 30 000 |
| 6 | Формирование товарных запасов | 120 000 | 1 | 120 000 |
| ИТОГО | 720 000 |
3. Расчет стоимости проекта (продолжение)
Таблица 3.2: Расходы, планируемые к реализации в течение срока окупаемости:
| № п/п | Наименование расходов | Цена | Количество | Стоимость |
|---|---|---|---|---|
| 1 | Дополнительное оборудование для мероприятий | 70 000 | 1 | 70 000 |
| 2 | Маркетинговый бюджет (первые 6 мес.) | 50 000 | 1 | 50 000 |
| 3 | Резервный фонд | 10 000 | 1 | 10 000 |
| ИТОГО | 130 000 |
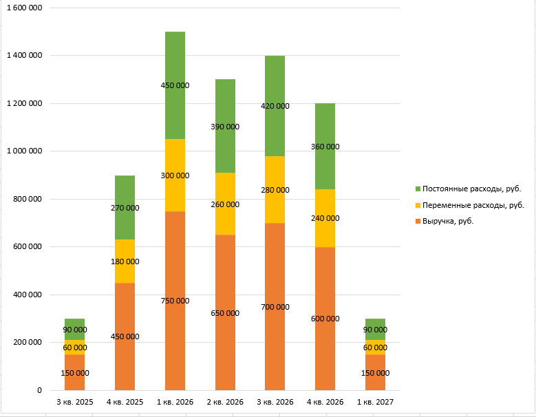
4. Производственный план
Организация деятельности представляет собой цикл взаимосвязанных процессов: открытие, подготовка пространства, обслуживание клиентов коворкинга и кафе.

Таблица 4.1: План реализации товаров и услуг (18 месяцев):
| Наименование | Итого за 18 мес. | 3 кв. 2025 | 4 кв. 2025 | 1 кв. 2026 | 2 кв. 2026 | 3 кв. 2026 | 4 кв. 2026 | 1 кв. 2027 |
|---|---|---|---|---|---|---|---|---|
| Выручка, всего | 3 450 000 | 150 000 | 450 000 | 750 000 | 650 000 | 700 000 | 600 000 | 150 000 |
| Услуги коворкинга | 1 800 000 | 60 000 | 240 000 | 420 000 | 360 000 | 390 000 | 300 000 | 30 000 |
| Кафе и продукты | 1 500 000 | 85 000 | 195 000 | 300 000 | 260 000 | 280 000 | 270 000 | 110 000 |
| Сопутствующие товары | 150 000 | 5 000 | 15 000 | 30 000 | 30 000 | 30 000 | 30 000 | 10 000 |
4. Производственный план (продолжение)
Таблица 4.2: Переменные расходы по видам деятельности:
| Наименование | Итого за 18 мес. | 3 кв. 2025 | 4 кв. 2025 | 1 кв. 2026 | 2 кв. 2026 | 3 кв. 2026 | 4 кв. 2026 | 1 кв. 2027 |
|---|---|---|---|---|---|---|---|---|
| Себестоимость, всего | 1 380 000 | 60 000 | 180 000 | 300 000 | 260 000 | 280 000 | 240 000 | 60 000 |
| Услуги коворкинга | 180 000 | 6 000 | 24 000 | 42 000 | 36 000 | 39 000 | 30 000 | 3 000 |
| Кафе и продукты | 600 000 | 34 000 | 78 000 | 120 000 | 104 000 | 112 000 | 108 000 | 44 000 |
| Сопутствующие товары | 600 000 | 20 000 | 78 000 | 138 000 | 120 000 | 129 000 | 102 000 | 13 000 |
5. План по маркетингу и объему продаж
Целевая аудитория: студенты ДГТУ и фрилансеры. Конкурентное преимущество: специализация на продуктивности, эргономика, инфраструктура.
Таблица 5.1: Анализ конкурентов:
| Конкуренты | Преимущества | Недостатки |
|---|---|---|
| Сетевые кофейни | Узнаваемость, качество | Шум, отсутствие условий для работы |
| Антикафе | Низкая цена, отдых | Неприспособленность для работы |
| WORK&COFFEE | Специализация, зонирование | Отсутствие узнаваемости на старте |
6. Ценовая политика
Используется стратегия «ценностного ценообразования». Базовая ставка — 200 руб./час. Внедрена система абонементов: «Дневной» (1200 руб.) и «Безлимит на месяц» (7500 руб.). Ценовая политика гибкая, учитывает сезонность спроса и стабильность цен поставщиков.
7. Территориальная представленность
Адрес: пр-кт Стачки, д. 101/1. Площадь 90 м² разделена на зоны: ресепшен/бар (15 м²), коворкинг-зона (50 м²), переговорная (15 м²), подсобные помещения (10 м²). Арендная плата составляет 80 000 рублей в месяц.
8. Расчет потребности в персонале
Таблица 8.1: Персонал организации:
| Должность | ЗП (оклад), руб. | Ввод места |
|---|---|---|
| Бариста-администратор | 35 000 | Сентябрь 2025 |
| Уборщица-кухонный работник | 15 000 | Сентябрь 2025 |
| Маркетолог (временный) | 25 000 | Август 2025 |
9. Анализ рисков
Таблица 9.1: Качественный анализ рисков:
| Фактор риска | Влияние | Меры реагирования |
|---|---|---|
| Снижение спроса | Высокое | Маркетинг, диверсификация |
| Усиление конкуренции | Среднее | Лояльность, сервис |
| Рост аренды | Высокое | Долгосрочный договор |
| Операционные сбои | Среднее | Резервные каналы |
9. Анализ рисков (продолжение)
Таблица 9.2: SWOT-анализ:
| Сильные стороны | Слабые стороны |
|---|---|
| Локация, концепция | Сезонность, бюджет |
| Возможности | Угрозы |
| Рост фриланса, комьюнити | Экономический спад, конкуренты |
10. Финансовый план
Проект выходит на операционную безубыточность в декабре 2025 года. Совокупная чистая прибыль за 18 месяцев — 819 600 рублей.

,

Таблица 10.3: Управленческий прогнозный баланс:
| Раздел баланса | 01.09.2025 | 01.01.2026 | 28.02.2027 |
|---|---|---|---|
| АКТИВЫ | 850 000 | 992 000 | 1 907 700 |
| Внеоборотные активы | 720 000 | 672 000 | 576 000 |
| Оборотные активы | 130 000 | 320 000 | 1 331 700 |
| ПАССИВЫ | 850 000 | 992 000 | 1 907 700 |
| Собственный капитал | 850 000 | 992 000 | 1 907 700 |
Заключение
Бизнес-план подтвердил экономическую состоятельность проекта «WORK&COFFEE». Инвестиции в 850 000 рублей окупаются за 18 месяцев. Проект является перспективным решением для создания социально-делового центра в Ростове-на-Дону.
Список используемых источников
- Гражданский кодекс РФ.
- Налоговый кодекс РФ.
- Федеральный закон № 129-ФЗ.
- Приказ Росстата № 735-ст.
- Баринов В.А. Бизнес-планирование.
- Петухова С.В. Бизнес-планирование.
- Официальный сайт Росстата.
- Аналитический обзор рынка общественного питания.
- Исследование рынка коворкингов.
- Данные агрегатора ЦИАН.
